Le concept de taux d'actualisation est utilisé afin d'amener la valeur actuelle à l'avenir. Le taux d'actualisation est le taux d'intérêt utilisé pour recalculer les flux financiers futurs au même montant de la valeur actuelle.

Le calcul du coefficient de taux d'actualisation est effectué de différentes manières, en fonction de la tâche à accomplir. Et les chefs d'entreprise ou les divisions individuelles dans les entreprises modernes sont confrontés à des tâches complètement différentes:
- la mise en oeuvre analyse d'investissement;
- planification des activités;
- évaluation d'entreprise.
Pour tous ces domaines, la base est le taux d'actualisation (son calcul), car la définition de cet indicateur affecte directement la prise de décision en matière d'investissement, d'évaluation d'une entreprise ou de certains types d'activité.
Le taux d'actualisation d'un point de vue économique
L'actualisation détermine le flux de trésorerie (sa valeur), qui concerne les périodes futures (c'est-à-dire les revenus futurs futurs). Pour pouvoir évaluer correctement les bénéfices futurs, vous devez disposer d'informations sur les prévisions des indicateurs suivants:
- investissement;
- les dépenses;
- revenu
- structure du capital;
- valeur résiduelle de la propriété;
- taux d'actualisation.
L’indicateur du taux d’actualisation a pour objectif principal d’évaluer l’efficacité des investissements. Cet indicateur implique un taux de rendement de 1 rouble. capital investi.
Le taux d'actualisation, dont le calcul détermine le montant nécessaire d'investissements pour les revenus futurs, est un indicateur clé pour le choix des projets d'investissement.
Le taux d'actualisation reflète la valeur de l'argent, en tenant compte des facteurs temporaires et des risques. Si nous parlons de détails, alors ce taux reflète plutôt une évaluation individuelle.
Exemple de choix de projets d’investissement utilisant un coefficient de taux d’actualisation
Deux projets A et C sont proposés à titre d’examen: dans les deux projets, au début, il est nécessaire d’investir 1 000 roubles sans autre coût. Si vous investissez dans le projet A, vous pouvez gagner annuellement un revenu de 1 000 roubles. Si vous mettez en œuvre le projet C, alors à la fin de la première et de la deuxième année, le revenu sera de 600 roubles, et à la fin de la troisième année, 2 200 roubles. Vous devez choisir un projet, 20% par an - le taux d'actualisation estimé.
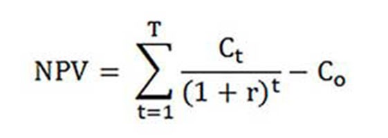
Le calcul de la valeur actualisée nette (valeur actuelle des projets A et C) est effectué selon la formule.

Ct - flux de trésorerie pour la période allant de la première à la trentième année;
Co-investissement initial - 1000 roubles;
r - taux d'actualisation - 20%.
VANUn = [1000 : (1 + 0,20)1 + 1000 : (1 + 0,20)2 + 1000 : (1 + 0,20)3] - 1000 = 1106 roubles.
VANAvec = [600 : (1 + 0,20)1 + 600 : (1 + 0,20)2 + 2200 : (1 + + 0,20)3] - 1000 = 1190 roubles.
Il s’avère qu’il est plus rentable pour un investisseur de choisir le projet C. Toutefois, si le taux d’actualisation actuel était de 30%, le coût des projets serait presque le même - 816 et 818 roubles.
Cet exemple montre que la décision de l’investisseur dépend entièrement du taux d’actualisation.
Diverses méthodes de calcul du taux d’actualisation sont proposées pour examen. Dans cet article, leur objectivité sera examinée par ordre décroissant.
Coût moyen pondéré du capital
Le plus souvent, lors du calcul d'un investissement, le taux d'actualisation est déterminé en tant que coût moyen pondéré du capital, en tenant compte des indicateurs de coût des capitaux propres (fonds propres) et des emprunts. C'est le moyen le plus objectif de calculer le taux d'actualisation des flux financiers. Son seul inconvénient est que pratiquement toutes les entreprises ne peuvent pas l'utiliser.

Pour procéder à une évaluation équité Le modèle d’évaluation des actifs à long terme (CAPM) est utilisé.
À la fin du XXe siècle, les économistes américains John Graham et Campbell Harvey ont interrogé 392 directeurs et directeurs financiers d'entreprises de divers domaines afin de déterminer comment ils prennent les décisions, ce à quoi ils font attention en premier lieu. À la suite de l’enquête, il a été révélé que la théorie universitaire était la plus utilisée, ou plutôt que la plupart des entreprises calculaient leur propre capital selon le modèle CAPM.
Coût des capitaux propres (formule de calcul)
Dans le calcul du coût des capitaux propres, le taux d'actualisation est par ailleurs pris en compte.
Le taux de rendement, ou le taux d’actualisation des capitaux propres, est calculé comme suit:
Re = rf +? (Rm - rf).
Où sont les composantes du taux d'actualisation:
- rf - taux de revenu sans risque;
- ? - un coefficient qui détermine l'évolution du prix des actions d'une entreprise par rapport à l'évolution des cours des actions pour toutes les entreprises d'un segment de marché donné;
- rm est le taux de rendement moyen du marché boursier sur le marché;
- (rm - rf) - prime de risque du marché.
Différents pays adoptent des approches différentes pour la définition des composants du modèle. Une grande partie du choix dépend de l'attitude générale vis-à-vis du calcul. Il est important d'étudier et de comprendre chacun de ces indicateurs séparément, de manière à déterminer le flux de trésorerie. Par conséquent, les éléments du modèle «Évaluation des actifs à long terme» seront examinés plus en détail ci-dessous. Et aussi l'objectivité de chaque composant est estimée et le taux d'actualisation est estimé.
Modèles de composants
L'indicateur RF correspond au taux de retour sur investissement des actifs sans risque. Les actifs sans risque sont appelés «actifs non risqués» dans lesquels le risque est nul. Ceux-ci comprennent principalement des titres publics. Le calcul des risques du taux d'actualisation dans différents pays se fait différemment. Ainsi, aux États-Unis, par exemple, les bons du Trésor sont classés dans les actifs sans risque. Dans notre pays, par exemple, ces actifs sont la Russie 30 (Eurobonds russes), dont la maturité est de 30 ans. Les informations sur le rendement de ces titres sont présentées dans la plupart des médias imprimés économiques et financiers, tels que le journal Vedomosti, Kommersant, The Moscow Times.

Sous le coefficient avec un signe, la question dans le modèle se rapporte à la sensibilité aux variations du risque de marché systématique des indicateurs de rendement des titres d'une société donnée. Ainsi, si l'indicateur est égal à un, les modifications de la valeur des actions de cette société coïncident pleinement avec les modifications du marché. Si le? -Coefficient = 1,3, alors on s’attend à ce que, avec une hausse générale du marché, le cours de l’action de cette société augmente de 30% plus rapidement que le marché. Et en conséquence le contraire.
Dans les pays où le marché boursier est développé, le? -Coefficient est examiné par des agences spécialisées dans l’information et l’analyse, des sociétés d’investissement et de conseil, et cette information est publiée dans des périodiques spécialisés analysant les répertoires boursiers et financiers.
L'indicateur rm-rf, qui correspond à une prime de risque du marché, est le montant à partir duquel le taux de rendement moyen du marché boursier a longtemps dépassé le taux de rendement des titres sans risque. Son calcul repose sur des données statistiques relatives aux primes du marché pour une longue période.
Coût moyen pondéré du capital
Si, lors du financement d'un projet, non seulement le leur, mais aussi fonds empruntés ensuite, les revenus provenant de ce projet devraient compenser non seulement les risques liés à l'investissement de fonds propres, mais également les fonds consacrés à l'obtention de capital emprunté. Pour comptabiliser la valeur des capitaux propres et du capital emprunté, le coût moyen pondéré du capital est utilisé, la formule de calcul étant présentée ci-dessous.

Pour calculer le taux d'actualisation, le modèle CAPM est utilisé. Re est le taux de rendement des capitaux propres.
D est la valeur de marché du capital emprunté. Représente presque le montant des emprunts de la société selon les états financiers. Si ces données ne sont pas disponibles, utilisez le ratio standard des fonds propres et des fonds empruntés d'entreprises similaires.
E est la valeur marchande des capitaux propres (capitaux propres). Obtenu en multipliant le nombre total d'actions d'une société de type ordinaire par le prix d'une action.
Rd représente le taux de rendement du capital emprunté de l'entreprise. Ces coûts incluent des informations sur les intérêts bancaires sur les prêts et obligations d'une société de type entreprise. En outre, l’évaluation du capital emprunté est ajustée en fonction du taux d’imposition. Les intérêts sur les prêts et emprunts en vertu de la législation fiscale sont attribués au coût des biens, réduisant ainsi l’assiette fiscale.
Tc - impôt sur le revenu.
Modèle WACC: exemple de calcul
En utilisant le modèle WACC, le taux d’actualisation pour la société X est indiqué.
La formule de calcul (un exemple a été donné lors du calcul du coût moyen pondéré du capital) nécessite les indicateurs d'entrée suivants.
- Rf = 10%;
- ? = 0,90;
- (Rm - Rf) = 8,76%.
Ainsi, l'équité (sa rentabilité) est égale à:
Re = 10% + 0,90 x 8,76% = 17,88%.
E / V = 80% - la part occupée par la valeur de marché du capital social dans le coût total du capital de la société X.
Rd = 12% - le niveau de coût moyen d'emprunt pour l'entreprise X.
D / V = 20% - la part des fonds empruntés de la société dans le montant total du coût du capital.
tc = 25% - indicateur de l'impôt sur le revenu.
Ainsi, WACC = 80% x 17,88% + 20% x 12% x (1 - 0,25) = 14,32%.
Comme indiqué ci-dessus, certaines méthodes de calcul du taux d'actualisation ne conviennent pas à toutes les entreprises. Et cette technique est juste ce cas.

Il est préférable que les entreprises choisissent d’autres méthodes de calcul du taux d’actualisation si la société n’est pas une société par actions ouverte et que ses actions ne sont pas vendues en bourse. Ou si l'entreprise ne dispose pas d'assez de statistiques pour déterminer le? -Coefficient et qu'il est impossible de trouver des entreprises similaires.
Méthode d'évaluation cumulative
La méthode la plus courante et la plus utilisée dans la pratique est la méthode cumulative, à l'aide de laquelle le taux d'actualisation est également estimé. Le calcul selon cette technique implique les conclusions suivantes:
- si les investissements n’entraînaient pas de risque, les investisseurs exigeraient un rendement du capital sans risque (le taux de rendement correspondrait au taux de rendement des investissements en actifs sans risque);
- plus l'investisseur évalue le risque du projet, plus les exigences de rentabilité sont élevées.
Par conséquent, lorsque le taux d'actualisation est calculé, il faut prendre en compte la prime de risque. En conséquence, le taux d'actualisation sera calculé comme suit:
R = Rf + R1 + ... + Rt,
où R est le taux d'actualisation;
Rf - taux de rendement sans risque;
R1 + ... + Rt - primes de risque pour divers facteurs de risque.
Il est pratiquement possible de déterminer l'un ou l'autre facteur de risque, ainsi que l'importance de chacune des primes de risque, que par des moyens experts.
Recommandations d'évaluation
Lorsque l’efficacité des projets d’investissement est déterminée, la méthode cumulative de calcul du taux d’actualisation recommande de prendre en compte 3 types de risque:
- risque découlant de la malhonnêteté des acteurs du projet;
- risque résultant de la non-réception du revenu prévu;
- risque pays.
La valeur du risque pays est indiquée dans diverses notations établies par des sociétés de notation spéciales et des sociétés de conseil (par exemple, BERI). Le fait que les participants au projet ne soient pas fiables est compensé par une prime de risque: un maximum de 5% est recommandé.Le risque résultant de la non-réception des recettes prévues est établi conformément aux objectifs du projet. Il y a une table de calcul spéciale.
Les taux d'actualisation estimés à l'aide de cette méthode sont plutôt subjectifs (ils dépendent trop de l'évaluation des risques par des experts). Ils sont également beaucoup moins précis que la méthode de calcul basée sur le modèle «Estimation des actifs à long terme».
Expertise et autres méthodes de calcul
Le moyen le plus simple de calculer le taux d’actualisation et très populaire dans la vie réelle consiste à le définir à l’aide d’une méthode experte, en tenant compte des besoins des investisseurs.
Il est clair que pour investisseurs privés le calcul basé sur des formules ne peut pas être le seul moyen de décider de l'exactitude de la détermination d'un taux d'actualisation pour un projet / une entreprise. Tous les modèles mathématiques ne peuvent qu'évaluer approximativement la réalité de la situation. Les investisseurs, s'appuyant sur leurs propres connaissances et leur propre expérience, sont en mesure de déterminer la rentabilité suffisante du projet et de s'en servir comme taux d'actualisation pour effectuer leurs calculs. Mais pour une expérience adéquate, l'investisseur doit être très au courant du marché, avoir une vaste expérience.
Cependant, il faut supposer que la méthodologie utilisée par les experts est la moins précise et peut fausser les résultats de l’évaluation des activités (projets). Par conséquent, il est recommandé de déterminer le taux d'actualisation à l'aide de méthodes expertes ou cumulatives, il est impératif d'analyser la sensibilité du projet aux modifications du taux d'actualisation. Dans ce cas, les investisseurs seront aussi précis que possible.

Bien sûr, il existe d'autres méthodes pour calculer le taux d'actualisation. Par exemple, la théorie de la tarification de l'arbitrage, un modèle de croissance du dividende. Mais ces théories sont très difficiles à comprendre et rarement appliquées dans la pratique.
L'application du taux d'actualisation dans la vie réelle
En conclusion, je voudrais noter que la plupart des entreprises en cours d’activité doivent déterminer le taux d’actualisation. Il faut comprendre que l’indicateur le plus précis peut être obtenu en utilisant la méthodologie WACC, alors que les méthodes restantes ont une erreur significative.
Il n'est pas souvent nécessaire de calculer le taux d'actualisation dans le travail. Cela est principalement dû à l’évaluation de grands projets importants. Leur mise en œuvre entraîne une modification de la structure du capital, du cours de l’action de la société. Dans ce cas, le taux d’actualisation et son mode de calcul sont définis avec la banque d’investisseurs. Ils portent principalement sur les risques encourus dans des entreprises similaires et sur les marchés.
L'application de certaines méthodes dépend également du projet. Dans les cas où les normes de l'industrie, la technologie de production, le financement sont compréhensibles et connus, des statistiques sont accumulées, le taux d'actualisation standard défini par l'entreprise est utilisé. Lors de l'évaluation de projets de petite et moyenne taille, reportez-vous au calcul périodes de récupération l'accent étant mis sur l'analyse de la structure et de l'environnement concurrentiel externe. En fait, les méthodes de calcul du taux d'actualisation des options réelles et des flux de trésorerie sont combinées.
Veuillez noter que le taux d'actualisation n'est qu'un intermédiaire dans l'évaluation des projets ou des actifs. En fait, l’évaluation est toujours subjective, l’essentiel est qu’elle soit logique.
Il y a une telle erreur: les risques économiques sont pris en compte deux fois. Ainsi, par exemple, deux concepts sont souvent confondus - risque de pays et inflation. En conséquence, le taux d'actualisation double, une contradiction apparaît.
Il n'y a pas toujours besoin de compter. Il existe un tableau spécial pour calculer le taux d'actualisation, qui est très facile à utiliser.

Le coût d'un prêt pour un emprunteur donné est également un bon indicateur.La base de fixation du taux d’actualisation peut être le taux de crédit réel et le niveau de rendement des obligations disponibles sur le marché. Après tout, la rentabilité du projet n’existe pas uniquement dans son propre environnement, elle est également affectée par la situation économique générale du marché.
Cependant, les indicateurs obtenus nécessitent également des ajustements importants liés au risque de l'entreprise (projet) lui-même. Actuellement, la méthodologie des options réelles est souvent utilisée, mais elle est très complexe d'un point de vue méthodologique.
Afin de prendre en compte des facteurs de risque tels que l’option de suspension de projet, les changements technologiques, les pertes de marché, les pratiques en matière d’évaluation de projets gonflent artificiellement les taux d’actualisation (jusqu’à 50%). De plus, il n’ya pas de théorie derrière ces chiffres. Des résultats similaires peuvent facilement être obtenus à l'aide de calculs complexes, dans lesquels, dans tous les cas, la majorité des indicateurs de prévision seraient déterminés subjectivement.
Déterminer correctement le taux d'actualisation est un problème lié à l'exigence de base concernant le contenu de l'information généré dans les états financiers et la comptabilité. En d’autres termes, s’il ya lieu de douter que les actifs ou les passifs soient correctement évalués et que la contrepartie en espèces soit différée, un escompte doit alors être appliqué.
Lorsque vous choisissez un taux d'actualisation, il est important de comprendre qu'il doit être aussi proche que possible du taux reçu par l'emprunteur de la banque créancière aux conditions réelles dans l'environnement existant.
Ainsi, le taux d'actualisation de certains actifs (par exemple les principaux) est égal au taux auquel l'entreprise devrait payer, attirant ainsi des fonds pour acheter une propriété similaire.